天气
更多
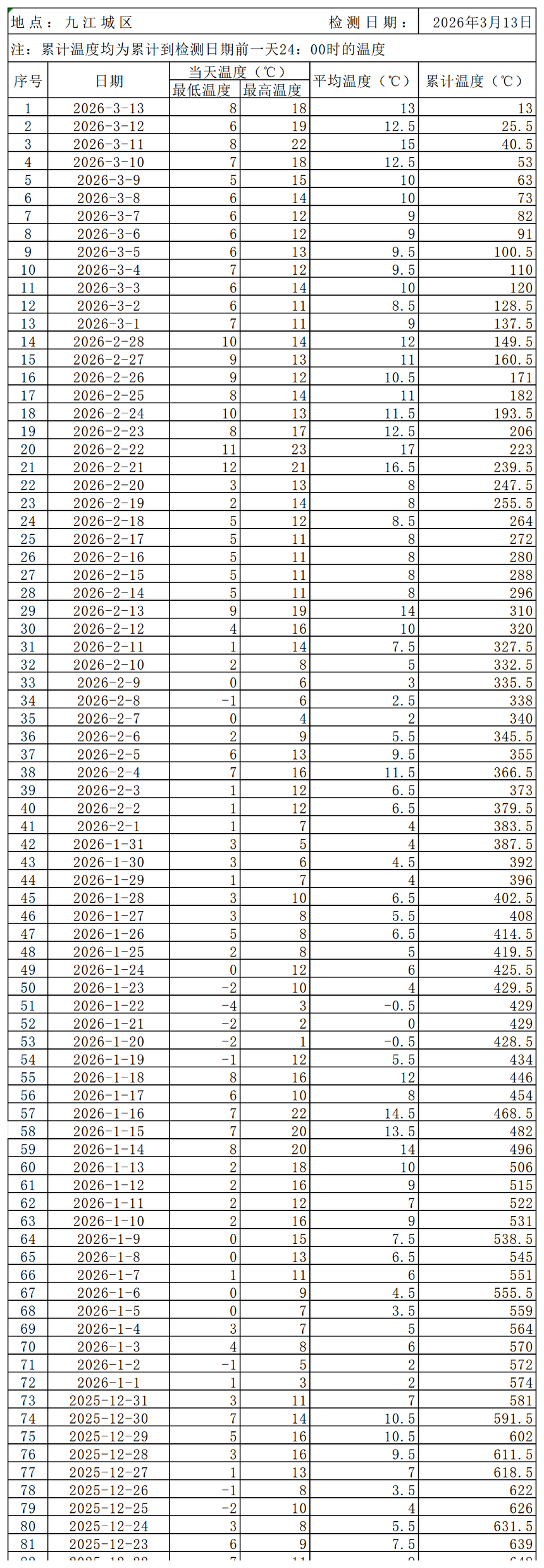
同条件试块累计温度
首页
公司简介
关于我们
组织机构图
员工活动
公司环境
资质证书
新闻中心
公司新闻
行业动态
政策法规
检测项目
在线留言
联系我们
服务指南
工作流程
资料下载
抽(取)样要求
1
2
3
4
首页
>>
试块累计温度查询
>>
温度查询
>>
九江市
>>
同条件试块温度查询 (九江城区)
试块累计温度查询
温度查询
九江市
浔阳区
开发区
濂溪区
柴桑区
德安县
共青城
永修县
武宁县
修水县
瑞昌市
湖口县
彭泽县
都昌县
庐山市
详细内容
同条件试块温度查询 (九江城区)
九江城区.xlsx
下一篇
同条件试块温度查询 (九江濂溪区)
相关信息
同条件试块温度查询 (九江濂溪区)
同条件试块温度查询 (九江浔阳区)
技术支持:
九江大幸电子商务有限公司
|
管理登录