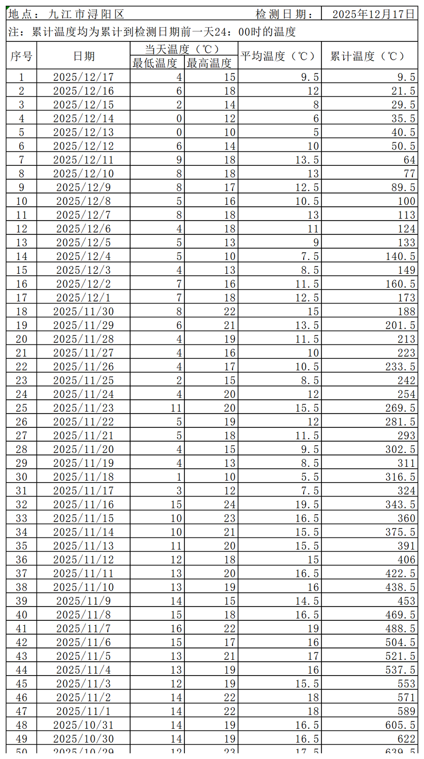
同条件试块温度查询 (九江浔阳区)

0评论

推荐

  • QQ空间

  • 新浪微博

  • 人人网

  • 豆瓣

相关评论

取消
技术支持: 九江大幸电子商务有限公司
  • 首页
  • 电话
  • 留言
  • 位置